autoua
×
Autoua.netФорумБесіди про бізнес

Купівля валюти під депозит в українських банках (3/5)

старый писатель **
Киев
Сообщения: 902
С нами с 23.08.2015

Re: Купівля валюти під депозит в українських банках [Re: Нафаня]
      9 октября 2022 в 10:09 Гілками

Нафаня 04.10.2022 15:55 пишет:

А перші три місяця це, якщо не помиляюсь, початок листопада.



Конец октября.
Через 2-3 недели будут первые отзывы


Роздрукувати   Нагадати!   Сповістити модератора   Відправити по E-mail
старый писатель **
Киев
Сообщения: 902
С нами с 23.08.2015

Re: Купівля валюти під депозит в українських банках [Re: Wave]
      9 октября 2022 в 10:42 Гілками

Wave 01.10.2022 14:28 пишет:

А хтось помітив сьогодні зранку в Райфі короткочасний аукціон невіданой щедрості, коли можна було купити $ на депозит по 37.45 і на 100 тис грн?
Чи це зараз таке нове обмеження?
Але з курсом щось явно глюкнуло у них, зараз знову стандартні 37.95



Нет никаких стандартных 37.95.
В половине банков - курс фиксированный.
Во второй половине - меняется несколько раз в день.
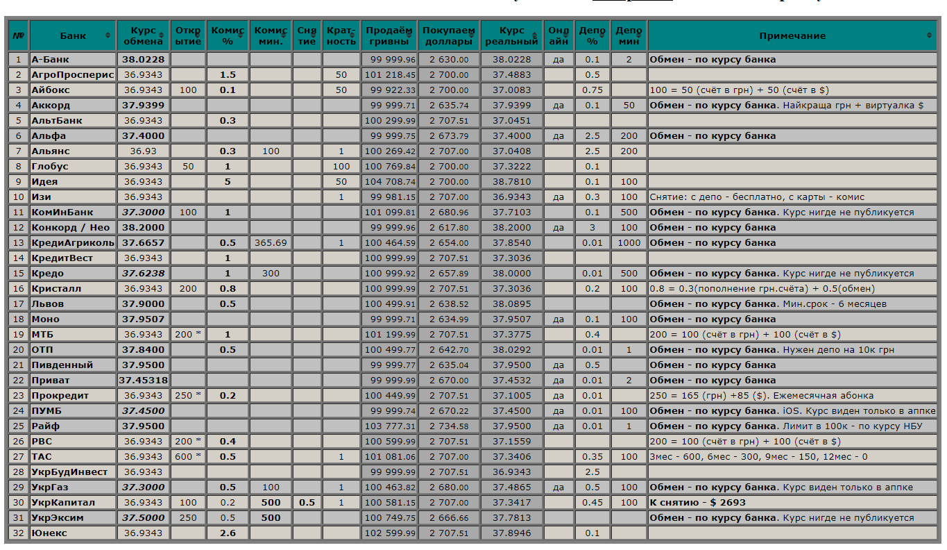
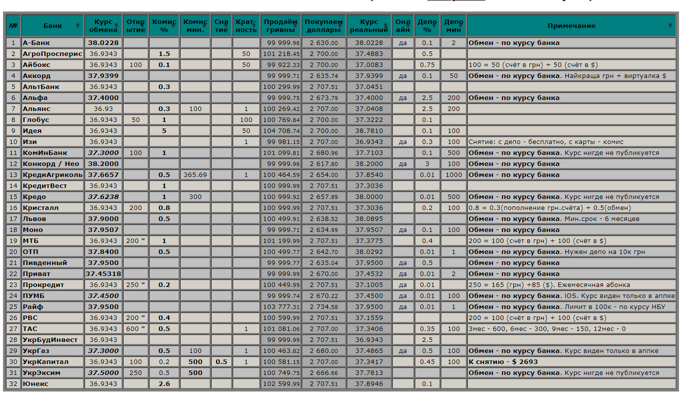
См. лог изменений курса доллара в вышеприведенной таблице.
Да и что такого сладкого в курсе 37.45, если доллары вполне можно купить по курсу НБУ+1% = 36.9343 ?


Роздрукувати   Нагадати!   Сповістити модератора   Відправити по E-mail
Супер писатель! ***
Киев
Сообщения: 2720
С нами с 24.05.2012

Re: Купівля валюти під депозит в українських банках [Re: Флешер]
      9 октября 2022 в 16:16 Гілками

Флешер 09.10.2022 10:42 пишет:

Wave 01.10.2022 14:28 пишет:

А хтось помітив сьогодні зранку в Райфі короткочасний аукціон невіданой щедрості, коли можна було купити $ на депозит по 37.45 і на 100 тис грн?
Чи це зараз таке нове обмеження?
Але з курсом щось явно глюкнуло у них, зараз знову стандартні 37.95



Нет никаких стандартных 37.95.
В половине банков - курс фиксированный.
Во второй половине - меняется несколько раз в день.
См. лог изменений курса доллара в вышеприведенной таблице.
Да и что такого сладкого в курсе 37.45, если доллары вполне можно купить по курсу НБУ+1% = 36.9343 ?



Мав на увазі стандартний для Райфа.
Навчіть, будь-ласка, як купити "по курсу НБУ+1% = 36.9343"?


Роздрукувати   Нагадати!   Сповістити модератора   Відправити по E-mail
старый писатель **
Киев
Сообщения: 902
С нами с 23.08.2015

Re: Купівля валюти під депозит в українських банках [Re: Wave]
      9 октября 2022 в 16:58 Гілками Прикріплені файли (0 завантажити)

Wave 09.10.2022 16:16 пишет:

Мав на увазі стандартний для Райфа.
Навчіть, будь-ласка, як купити "по курсу НБУ+1% = 36.9343"?



Нет для райфа никакого стандартного курса, он скачет каждый день.

А купить по курсу НБУ+1% - легко.
Достаточно обратиться в адекватный банк, который предоставляет эту услугу по стандартному курсу.
Более жадные банки, устанавливающие свой собственный курс, могут идти лесом.
Но реальный курс (с учётом комиссий) может быть и больше курса обмена.
Надо смотреть именно реальный курс

Нет для райфа никакого стандартного курса, он скачет каждый день.А купить по курсу НБУ+1% - легко

Змінено Флешер (17:00 09/10/2022)


Роздрукувати   Нагадати!   Сповістити модератора   Відправити по E-mail
бЭндеровец **
10 лет (30 лет за рулем), Донецк - Киев
Сообщения: 64942
С нами с 10.10.2005

Re: Купівля валюти під депозит в українських банках [Re: Флешер]
      9 октября 2022 в 17:25 Гілками

А вы реально готовы открыть депозит в одном из указанных в таблице банков?
Я из списка знаю только ТАС и то есть вопросы.


Роздрукувати   Нагадати!   Сповістити модератора   Відправити по E-mail
старый писатель **
Киев
Сообщения: 902
С нами с 23.08.2015

Re: Купівля валюти під депозит в українських банках [Re: Mangust]
      9 октября 2022 в 17:29 Гілками

Mangust 09.10.2022 17:25 пишет:

А вы реально готовы открыть депозит в одном из указанных в таблице банков?
Я из списка знаю только ТАС и то есть вопросы.



Не только готов, но уже и открыл несколько депо в разных банках, все по курсу НБУ+1.
Если вы не знаете какой-то банк - это не значит что его нет.


Роздрукувати   Нагадати!   Сповістити модератора   Відправити по E-mail
патриарх ***
41 год (21 год за рулем), Киев
Сообщения: 1047
С нами с 23.05.2008

Re: Купівля валюти під депозит в українських банках [Re: Mangust]
      9 октября 2022 в 19:45 Гілками Прикріплені файли (0 завантажити)

Mangust 09.10.2022 17:25 пишет:

А вы реально готовы открыть депозит в одном из указанных в таблице банков?
Я из списка знаю только ТАС и то есть вопросы.



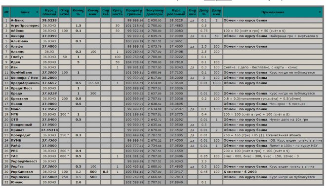
Список банков в скрине обрезан, по ссылке есть норм банки

Список банков в скрине обрезан, по ссылке есть норм банки


Роздрукувати   Нагадати!   Сповістити модератора   Відправити по E-mail
старый писатель **
Киев
Сообщения: 902
С нами с 23.08.2015

Re: Купівля валюти під депозит в українських банках [Re: Lazebnyy]
      9 октября 2022 в 20:03 Гілками

Lazebnyy 09.10.2022 19:45 пишет:

Mangust 09.10.2022 17:25 пишет:

А вы реально готовы открыть депозит в одном из указанных в таблице банков?
Я из списка знаю только ТАС и то есть вопросы.



Список банков в скрине обрезан, по ссылке есть норм банки



Вопрос выше был именно про банки со стандартным курсом НБУ+1.
Потому их и показал.
Это я к тому, что кроме Райфа и Привата - есть дофига вариантов.
А если кто-то их не знает - то это его проблемы


Роздрукувати   Нагадати!   Сповістити модератора   Відправити по E-mail
Достоевский **
43 года (25 лет за рулем), Киев
Сообщения: 8615
С нами с 14.04.2003

Re: Купівля валюти під депозит в українських банках [Re: Флешер]
      9 октября 2022 в 20:41 Гілками

в жодному банку з цього переліку я б не відкрив депозит, навіть з лімітом нинішнім.
кроїлово веде к попадалову (с)


Роздрукувати   Нагадати!   Сповістити модератора   Відправити по E-mail
Супер писатель! ***
Киев
Сообщения: 2720
С нами с 24.05.2012

Re: Купівля валюти під депозит в українських банках [Re: Флешер]
      10 октября 2022 в 13:52 Гілками

Флешер 09.10.2022 16:58 пишет:


Нет для райфа никакого стандартного курса, он скачет каждый день.




Прям кожен день? Мабуть у нас якісь різні Райфи, бо в моєму він незмінно 37.95 з 23 вересня.


Роздрукувати   Нагадати!   Сповістити модератора   Відправити по E-mail
старый писатель **
Киев
Сообщения: 902
С нами с 23.08.2015

Re: Купівля валюти під депозит в українських банках [Re: Wave]
      10 октября 2022 в 14:12 Гілками

Wave 10.10.2022 13:52 пишет:

Флешер 09.10.2022 16:58 пишет:


Нет для райфа никакого стандартного курса, он скачет каждый день.




Прям кожен день? Мабуть у нас якісь різні Райфи, бо в моєму він незмінно 37.95 з 23 вересня.



Не каждый, согласен. Держится уже 2 недели с небольшой флуктуацией 1 октября.
Но он ничем не фиксирован и не стандартизован, может измениться в любую минуту.
В отличие от тех банков, где курс всегда 36.9343

PS. А по евро - реально меняется чуть не каждый день

Змінено Флешер (14:15 10/10/2022)


Роздрукувати   Нагадати!   Сповістити модератора   Відправити по E-mail
Достоевский **
Киев
Сообщения: 8486
С нами с 14.07.2004

Re: Купівля валюти під депозит в українських банках [Re: Нафаня]
      26 октября 2022 в 12:59 Гілками

Нафаня 04.10.2022 15:55 пишет:

Здається мені, коли закінчаться такі перши депозити і люди почнуть отримувати ці долари (чи евро) готівкою можна очікувати помітне зниження курсу на чорному ринку (обмінниках).

А чьому б ні? Отримав долари, обміняв, оформив депозит знову (на туж саму суму) а ще й зафіксував прибуток в гривнях. Якщо це буде массово, то обмінний курс відреагує.





Схоже, почалося.
Якщо тиждень тому приймали по 40.50-40.40, то сьогодні 39.60-39.70.
Очікуємо подальше зниження протягом наступного тижня


Роздрукувати   Нагадати!   Сповістити модератора   Відправити по E-mail
Супер писатель! **
48 лет (28 лет за рулем), Киев
Сообщения: 3688
С нами с 18.05.2010

Re: Купівля валюти під депозит в українських банках [Re: DanteLexus]
      8 ноября 2022 в 06:23 Гілками

да щось як почалось, так вже і закінчилось

Роздрукувати   Нагадати!   Сповістити модератора   Відправити по E-mail
подмастерье
39 лет (22 года за рулем), Винница
Сообщения: 78
С нами с 11.06.2013

Re: Купівля валюти під депозит в українських банках [Re: DanteLexus]
      7 декабря 2022 в 11:16 Гілками

на початку грудня забрав 4 депозита в Райфі загальною сумою початкового вкладу 200К - вчора знов поклав 2 по 100К.
валюту для зняття замовили без питань за день


Роздрукувати   Нагадати!   Сповістити модератора   Відправити по E-mail
опытный писатель **
50 лет (29 лет за рулем), Киев
Сообщения: 1569
С нами с 04.11.2008

Re: Купівля валюти під депозит в українських банках [Re: yriisa]
      7 декабря 2022 в 13:08 Гілками

yriisa 07.12.2022 11:16 пишет:

на початку грудня забрав 4 депозита в Райфі загальною сумою початкового вкладу 200К - вчора знов поклав 2 по 100К.
валюту для зняття замовили без питань за день



Долари поміняв в обміннику, а гривню приніс назад в банк?


Роздрукувати   Нагадати!   Сповістити модератора   Відправити по E-mail
подмастерье
39 лет (22 года за рулем), Винница
Сообщения: 78
С нами с 11.06.2013

Re: Купівля валюти під депозит в українських банках [Re: swap22]
      7 декабря 2022 в 13:19 Гілками

swap22 07.12.2022 13:08 пишет:

yriisa 07.12.2022 11:16 пишет:

на початку грудня забрав 4 депозита в Райфі загальною сумою початкового вкладу 200К - вчора знов поклав 2 по 100К.
валюту для зняття замовили без питань за день



Долари поміняв в обміннику, а гривню приніс назад в банк?



саме так, заробіток в моменті біля 15к гривень


Роздрукувати   Нагадати!   Сповістити модератора   Відправити по E-mail
бЭндеровец **
10 лет (30 лет за рулем), Донецк - Киев
Сообщения: 64942
С нами с 10.10.2005

Re: Купівля валюти під депозит в українських банках [Re: yriisa]
      8 марта 2023 в 10:51 Гілками

yriisa 07.12.2022 13:19 пишет:


саме так, заробіток в моменті біля 15к гривень



Схоже, що у березні заробіток дешо впав?
Ще є сенс при такому курсі?


Роздрукувати   Нагадати!   Сповістити модератора   Відправити по E-mail
опытный писатель **
50 лет (29 лет за рулем), Киев
Сообщения: 1569
С нами с 04.11.2008

Re: Купівля валюти під депозит в українських банках [Re: Mangust]
      8 марта 2023 в 13:45 Гілками

Mangust 08.03.2023 10:51 пишет:


Схоже, що у березні заробіток дешо впав?
Ще є сенс при такому курсі?



Ти так не лякай. Зараз подивився на курс, 38.5 (приблизно), то як би є. Ти маєш $ на руках, продав і зразу купив. на справді тут ризиків немає ніяких.
Халепа буде якщо впаде нижче курсу 37.5. Але зростання гривні і раніше було, треба звикнути, якщо гроші тримаєш в $.


Роздрукувати   Нагадати!   Сповістити модератора   Відправити по E-mail
патриарх *
Киев
Сообщения: 1161
С нами с 21.06.2011

Re: Купівля валюти під депозит в українських банках [Re: DanteLexus]
      8 марта 2023 в 14:18 Гілками

долар на міжбанку + комісія банку при оформленні депозиту складає приблизно 38 грн., а в обміннику зараз можна придбати за 39 грн. Отже зараз всього 1 гривня різниця, тільки депозит ти отримаєш через 3 місяці, якщо НБУ щось не придумає на кшталт видавати валютні депозити по курсу НБУ. Маловірогідно, але можливо.
Тому, вважаю, насьогодні валютний депозит - шкурка вичінки не стоит)))

Особисто я грався в депозит коли різниця була 4-5 грн., зараз не бачу сенсу.

Змінено serjik_007 (14:22 08/03/2023)


Роздрукувати   Нагадати!   Сповістити модератора   Відправити по E-mail
подмастерье
39 лет (22 года за рулем), Винница
Сообщения: 78
С нами с 11.06.2013

Re: Купівля валюти під депозит в українських банках [Re: swap22]
      8 марта 2023 в 14:57 Гілками

swap22 08.03.2023 13:45 пишет:

Mangust 08.03.2023 10:51 пишет:


Схоже, що у березні заробіток дешо впав?
Ще є сенс при такому курсі?



Ти так не лякай. Зараз подивився на курс, 38.5 (приблизно), то як би є. Ти маєш $ на руках, продав і зразу купив. на справді тут ризиків немає ніяких.
Халепа буде якщо впаде нижче курсу 37.5. Але зростання гривні і раніше було, треба звикнути, якщо гроші тримаєш в $.




сьогодні, доречі знімаю 2 депозити, через тиждень ще 2 і 2 в середині квітня.
як на мене, при сьогоднішній різниці, невигідно


Роздрукувати   Нагадати!   Сповістити модератора   Відправити по E-mail
Autoua.netФорумБесіди про бізнес
Додаткова інформація
0 користувачів і 17 що побажали залишитися невідомими читають цей форум.

Модератор:  Рубан, moderator 

Роздрукувати всю тему

Права
      Ви не можете створювати нові теми
      Ви не можете відповідати на повідомлення
      HTML дозволений
      UBBCode дозволений

Рейтинг: *****
Переглядів теми: 20740

Оціните цю тему

Перейти в

Правила конференції | Календар | FAQ | Карта розділу | Мобільна версія