autoua
×
Autoua.netФорумВирішення побутових проблем

Квартиры/котеджи в Петровском, какие подводные камни? (120/189)

энтузиаст ***
41 год (13 лет за рулем), Киев
Сообщения: 240
С нами с 28.11.2012

Re: Квартиры/котеджи в Петровском, какие подводные камни? [Re: julson]
      19 февраля 2013 в 13:55 Гілками

julson 19.02.2013 13:48 пишет:

ykharlov 19.02.2013 13:44 пишет:


А к осени гляди и застеклим




а как стеклить если крыши нету?
у меня кстати тоже на балконе не было
как-то приделали, не знаю как - покупали уже с крышей




несколько вариантов ...

...которые мы будем рассматривать всеми заинтересованными сторонами уже летом

Вон Застройщик нам тенты предлагает за свои купить... Тоже решение

Понятно, что мало кто (читай - никто) не захочет их и мы (заинтересованные соседи) уже даже думаем над проектом остекления балкона/терассы (+крыша) дабы не испортить внешний вид дома. Всё будет allright!

Змінено ykharlov (13:56 19/02/2013)


Роздрукувати   Нагадати!   Сповістити модератора   Відправити по E-mail
IesuiT *
26 лет за рулем, Киев
Сообщения: 35610
С нами с 30.10.2009

Re: Квартиры/котеджи в Петровском, какие подводные камни? [Re: ykharlov]
      19 февраля 2013 в 14:11 Гілками

я почему про крышу спросила то
помню как-то читала решение киево-святошинского суда по чайке кажись
так там кто-то застеклил балкон не спросив в застройщика, а в договоре мелким шрифтом было указано что низя
так уж не помню на какую сумму оштрафовали, но что-то аж на часть стоимости квартиры


Роздрукувати   Нагадати!   Сповістити модератора   Відправити по E-mail
V.I.P *
Сообщения: 17365
С нами с 10.11.2009

Re: Квартиры/котеджи в Петровском, какие подводные камни? [Re: Vet_niK]
      19 февраля 2013 в 14:13 Гілками

Вот что-то мне подсказывает, что у всех одинаково ну никак не будет получаться. Кому-то будет нравится, кому-то - нет, а кто-то вообще не захочет стеклить/перекрывать

Роздрукувати   Нагадати!   Сповістити модератора   Відправити по E-mail
IesuiT *
26 лет за рулем, Киев
Сообщения: 35610
С нами с 30.10.2009

Re: Квартиры/котеджи в Петровском, какие подводные камни? [Re: ale_xey]
      19 февраля 2013 в 14:22 Гілками

ale_xey 19.02.2013 14:13 пишет:

а кто-то вообще не захочет стеклить/перекрывать



кстати да
у меня подруга так она категорично не поддерживает остекление балкона вообще никакое
у нее с новостроем был такой трабл, типа хотели всем остеклить сразу


Роздрукувати   Нагадати!   Сповістити модератора   Відправити по E-mail
энтузиаст ***
41 год (13 лет за рулем), Киев
Сообщения: 240
С нами с 28.11.2012

Re: Квартиры/котеджи в Петровском, какие подводные камни? [Re: julson]
      19 февраля 2013 в 14:27 Гілками

julson 19.02.2013 14:11 пишет:

я почему про крышу спросила то
помню как-то читала решение киево-святошинского суда по чайке кажись
так там кто-то застеклил балкон не спросив в застройщика, а в договоре мелким шрифтом было указано что низя




Застройщик подтвердил, что можно.

Относительно того кто хочет или не хочет - у меня есть друг, который не хотел. Так на него пол дома волком смотрело, пока не согласился

Потом говорил, что поначалу денег не было. Теперь живут дружно!


Роздрукувати   Нагадати!   Сповістити модератора   Відправити по E-mail
IesuiT *
26 лет за рулем, Киев
Сообщения: 35610
С нами с 30.10.2009

Re: Квартиры/котеджи в Петровском, какие подводные камни? [Re: ykharlov]
      19 февраля 2013 в 14:30 Гілками

ykharlov 19.02.2013 14:27 пишет:


Застройщик подтвердил, что можно.




надеюсь письменно?


Роздрукувати   Нагадати!   Сповістити модератора   Відправити по E-mail
энтузиаст ***
41 год (13 лет за рулем), Киев
Сообщения: 240
С нами с 28.11.2012

Re: Квартиры/котеджи в Петровском, какие подводные камни? [Re: julson]
      19 февраля 2013 в 14:45 Гілками

julson 19.02.2013 14:30 пишет:

ykharlov 19.02.2013 14:27 пишет:


Застройщик подтвердил, что можно.




надеюсь письменно?




КОНЕЧНО нет! Если я на каджый интересующий вопрос буду просить у них бумажку ... то они мне вернут мои деньги и "Давай, до свиданья". А вопросов я задаю много от себя и других ( https://docs.google.com/spreadsheet/ccc?...amp;usp=sharing ).

Тем более в открытой терассе можно найти и свои плюсы. Даже зимой.

Надо смотреть на этот вопрос как на допоплнительные затраты, а не дополнительные проблемы. Тем более приятно, что у нас-мансардников будет возможность выбора остекления балкона.


Роздрукувати   Нагадати!   Сповістити модератора   Відправити по E-mail
IesuiT *
26 лет за рулем, Киев
Сообщения: 35610
С нами с 30.10.2009

Re: Квартиры/котеджи в Петровском, какие подводные камни? [Re: ykharlov]
      19 февраля 2013 в 14:48 Гілками

ykharlov 19.02.2013 14:45 пишет:

Если я на каджый интересующий вопрос буду просить у них бумажку ... то они мне вернут мои деньги и "Давай, до свиданья".



ого
кто ж тебя так запугал то?
просить бумажку - твое законное право, а их обязанность ее выдать


Роздрукувати   Нагадати!   Сповістити модератора   Відправити по E-mail
энтузиаст ***
41 год (13 лет за рулем), Киев
Сообщения: 240
С нами с 28.11.2012

Re: Квартиры/котеджи в Петровском, какие подводные камни? [Re: julson]
      19 февраля 2013 в 14:58 Гілками

julson 19.02.2013 14:48 пишет:

ykharlov 19.02.2013 14:45 пишет:

Если я на каджый интересующий вопрос буду просить у них бумажку ... то они мне вернут мои деньги и "Давай, до свиданья".



ого
кто ж тебя так запугал то?
просить бумажку - твое законное право, а их обязанность ее выдать




таким заниматься нет ни желания, не времени

я не живу в совковом мире. А с юридической точки зрения это не тот вопрос, который её требует. Согласна?

Запугал? ты о чём? Я реально смотрю на вещи и не пытаюсь кого то на чём то подловить. Типа "вот была бумажка... "


Роздрукувати   Нагадати!   Сповістити модератора   Відправити по E-mail
IesuiT *
26 лет за рулем, Киев
Сообщения: 35610
С нами с 30.10.2009

Re: Квартиры/котеджи в Петровском, какие подводные камни? [Re: ykharlov]
      19 февраля 2013 в 15:20 Гілками

ykharlov 19.02.2013 14:58 пишет:

А с юридической точки зрения это не тот вопрос, который её требует. Согласна?




не согласна
вон уже пример привела, как одним сначала разрешили, а потом забыли что разрешили


Роздрукувати   Нагадати!   Сповістити модератора   Відправити по E-mail
V.I.P *
Сообщения: 17365
С нами с 10.11.2009

Re: Квартиры/котеджи в Петровском, какие подводные камни? [Re: ykharlov]
      19 февраля 2013 в 15:39 Гілками

ykharlov 19.02.2013 14:58 пишет:


я не живу в совковом мире


С этой точки зрения к совковому миру у меня претензий нет. Бумажка должна быть. Ибо "без бумажки ты - каащка" (С)Попробуй потом что-то доказать.

Роздрукувати   Нагадати!   Сповістити модератора   Відправити по E-mail
энтузиаст ***
41 год (13 лет за рулем), Киев
Сообщения: 240
С нами с 28.11.2012

Re: Квартиры/котеджи в Петровском, какие подводные камни? [Re: ale_xey]
      19 февраля 2013 в 15:48 Гілками

Ребята, может и по-вашему я и
ale_xey 19.02.2013 15:39 пишет:

каащка"


, но это моё мнение. Если для кого-то это так важно, тот может пойти и попросить эту "бумажку".

Будет что то толковое - отвечу. Этот разговор я для себя заканчиваю. Удачи.


Роздрукувати   Нагадати!   Сповістити модератора   Відправити по E-mail
IesuiT *
26 лет за рулем, Киев
Сообщения: 35610
С нами с 30.10.2009

Re: Квартиры/котеджи в Петровском, какие подводные камни? [Re: ykharlov]
      19 февраля 2013 в 15:52 Гілками

Юра, дело хозяйское.
а наше дело камень узреть, тот шо подводный


Роздрукувати   Нагадати!   Сповістити модератора   Відправити по E-mail
member *****
Сообщения: 112
С нами с 25.06.2012

Re: Квартиры/котеджи в Петровском, какие подводные камни? [Re: julson]
      19 февраля 2013 в 17:05 Гілками

у кого-то есть свежие новости по оформлению подвала? Узнавали цены у других нотариусов?
как-то мне жалко отдавать 600 долл за оформление 10ти метров подвала.


Роздрукувати   Нагадати!   Сповістити модератора   Відправити по E-mail
энтузиаст
42 года (112 лет за рулем), Киев
Сообщения: 237
С нами с 24.06.2008

Re: Квартиры/котеджи в Петровском, какие подводные камни? [Re: Yulia]
      19 февраля 2013 в 17:15 Гілками

вот в соседней теме гляньте... более новых новостей нету

Змінено 0lg3rd (17:17 19/02/2013)


Роздрукувати   Нагадати!   Сповістити модератора   Відправити по E-mail
новичок
Сообщения: 34
С нами с 24.05.2012

Re: Квартиры/котеджи в Петровском, какие подводные камни? [Re: 0lg3rd]
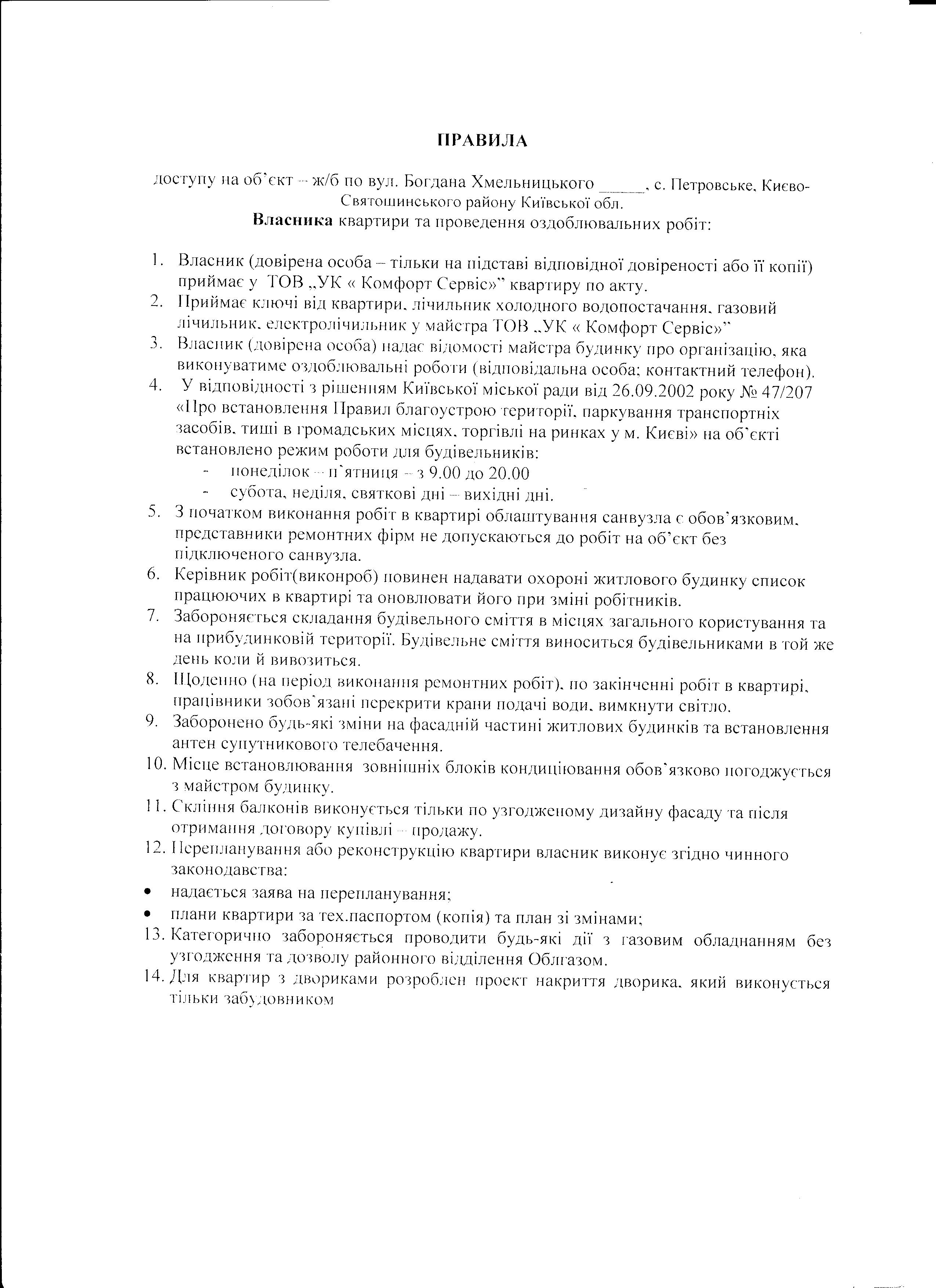
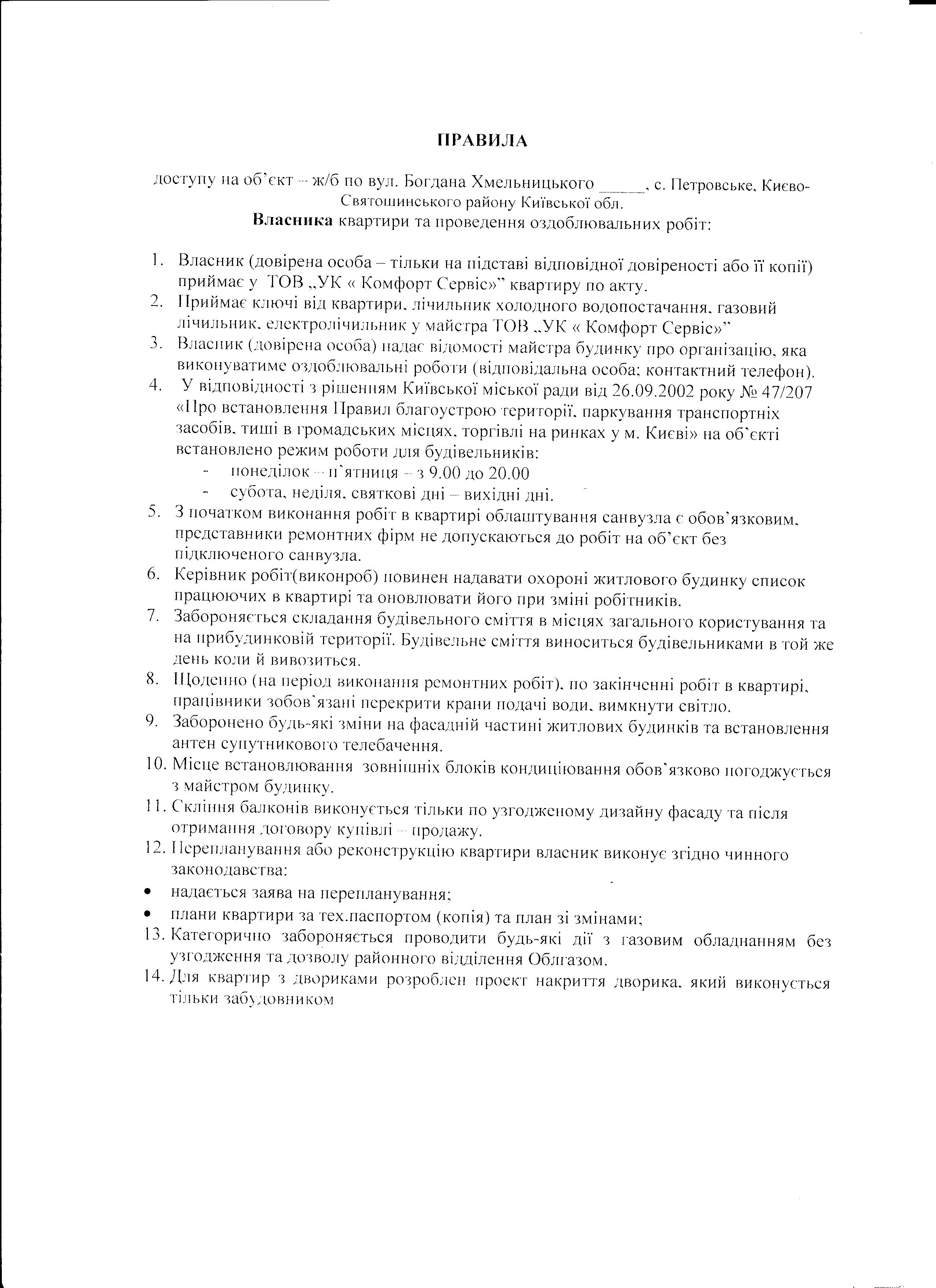
      19 февраля 2013 в 19:35 Гілками Прикріплені файли (0 завантажити)

Кому интересно..

Кому интересно.


Роздрукувати   Нагадати!   Сповістити модератора   Відправити по E-mail
читатель
Сообщения: 1
С нами с 19.02.2013

Re: Квартиры/котеджи в Петровском, какие подводные камни? [Re: Vet_niK]
      19 февраля 2013 в 19:36 Гілками

Доброго вечора! Шановні мешканці Петрівського кварталу, я придбав тут квартиру з двором и хочу довести до вашого відома, що в себе у дворику я буду жарити, пекти, варити, що я захочу і коли я захочу і як я захочу!!! А якщо комусь це не подобається, то вибачайте...

Роздрукувати   Нагадати!   Сповістити модератора   Відправити по E-mail
новичок
Сообщения: 34
С нами с 24.05.2012

Re: Квартиры/котеджи в Петровском, какие подводные камни? [Re: Diesel]
      19 февраля 2013 в 19:37 Гілками Прикріплені файли (0 завантажити)

еще

еще


Роздрукувати   Нагадати!   Сповістити модератора   Відправити по E-mail
member
47 лет, Киев
Сообщения: 166
С нами с 10.04.2010

Re: Квартиры/котеджи в Петровском, какие подводные камни? [Re: 0lg3rd]
      19 февраля 2013 в 19:52 Гілками

Так что ч водоотводом?
Гугл по этому поводу вот что говорит:
http://www.consumerinfo.org.ua/must_know/quality/581/6225/

Договор на предоставление жилищно-коммунальных услуг

Чтобы соблюдались права и законные интересы потребителя при предоставлении жилищно-коммунальных услуг, необходимо чтобы правоотношения в этой сфере услуг были оформлены договором. Это требования закона. Так, статья 19 Закона Украины «О жилищно-коммунальных услугах» от 24.06.04 г. № 1875-1У гласит о том, отношения между гражданами и предприятиями, оказывающими жилищно-коммунальные услуги, осуществляются исключительно на договорных условиях.

Статья 21 названного Закона обязывает исполнителя услуг подготовить и заключить с потребителем договор о предоставлении жилищно-коммунальных услуг согласно типовому договору с установлением ответственности за соблюдение его условий.

Кабинетом Министров Украины были приняты постановления от 12.07.05 г. № 560 «Об утверждении Порядка формирования тарифов на услуги по содержанию домов и сооружений и придомовых территорий...» и от 21.07.05 г. № 630 «Об утверждении Правил оказания услуг централизованного отопления, подачи холодной и горячей воды и водоотвода...». Указанными постановлениями были утверждены типовые договоры об оказании соответствующих услуг. Потребители имеют право ознакомиться с указанными документами, исполнители услуг не имеют права отказать им в этом. Только убедившись в том, что подготовленный исполнителем договор отвечает типовому договору, потребитель может его подписать. Помните, что согласно ст. 629 Гражданского кодекса Украины договор является обязательным для выполнения сторонами.


Роздрукувати   Нагадати!   Сповістити модератора   Відправити по E-mail
member
47 лет, Киев
Сообщения: 166
С нами с 10.04.2010

Re: Квартиры/котеджи в Петровском, какие подводные камни? [Re: Diesel]
      19 февраля 2013 в 20:00 Гілками

Diesel 19.02.2013 19:37 пишет:

еще



Там внизу подписи нету, на этом документе. Это владелец такое написал?


Роздрукувати   Нагадати!   Сповістити модератора   Відправити по E-mail
Autoua.netФорумВирішення побутових проблем
Додаткова інформація
3 користувачів і 89 що побажали залишитися невідомими читають цей форум.

Модератор:  AlMat, doctor_b, moderator, Outdriver 

Роздрукувати всю тему

Права
      Ви не можете створювати нові теми
      Ви не можете відповідати на повідомлення
      HTML дозволений
      UBBCode дозволений

Рейтинг: *****
Переглядів теми: 307099

Оціните цю тему

Перейти в

Правила конференції | Календар | FAQ | Карта розділу | Мобільна версія