autoua
×
Autoua.netФорумБудівництво та ремонт нерухомості

Прокомментируйте пожалуйста смету...

Украинский националист ***
Киев
Сообщения: 19281
С нами с 15.11.2003

Прокомментируйте пожалуйста смету...
      16 мая 2007 в 13:23 Гілками Прикріплені файли (122 завантажити)

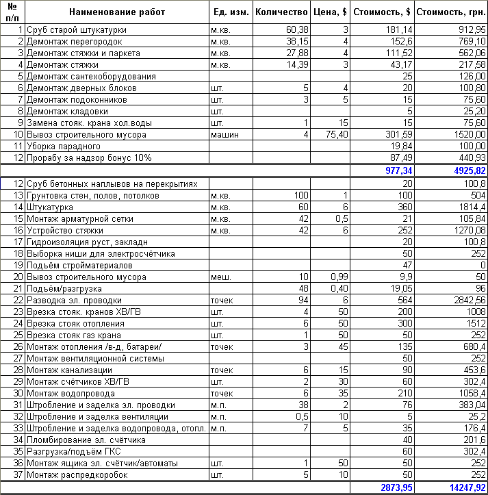
Прораб нарисовал примерную смету стоимости работ, хочу посоветоваться с общественностью, соответствуют ли цены сегодняшней действительности:

Прораб нарисовал примерную смету стоимости работ, хочу посоветоваться с общественностью, соответствуют ли цены сегодняшней действительности:


Роздрукувати   Нагадати!   Сповістити модератора   Відправити по E-mail
Достоевский **
Киев
Сообщения: 8372
С нами с 15.03.2002

Re: Прокомментируйте пожалуйста смету... [Re: adrenalin]
      16 мая 2007 в 13:31 Гілками

чего-то у тебя там ошибка в первой части, суммы не сходятся

Роздрукувати   Нагадати!   Сповістити модератора   Відправити по E-mail
Украинский националист ***
Киев
Сообщения: 19281
С нами с 15.11.2003

Re: Прокомментируйте пожалуйста смету... [Re: pasha_uni]
      16 мая 2007 в 13:55 Гілками

В ответ на:

чего-то у тебя там ошибка в первой части, суммы не сходятся




Спасибо за замечание, уже исправил.


Роздрукувати   Нагадати!   Сповістити модератора   Відправити по E-mail
СуперСтар ***
53 года (16 лет за рулем), Киев
Сообщения: 4947
С нами с 20.10.2006

Re: Прокомментируйте пожалуйста смету... [Re: adrenalin]
      16 мая 2007 в 14:07 Гілками

Если честно, то просто офигеваю. Очень дорого. Грунтовка - доллар за квадрат! Это как пример. Еще поразила цена на монтаж распредкоробок - 10 за одну! Я так понимаю, что тут еще и не все включено. Есть штукатурка, но нет откосов...

Роздрукувати   Нагадати!   Сповістити модератора   Відправити по E-mail
Украинский националист ***
Киев
Сообщения: 19281
С нами с 15.11.2003

Re: Прокомментируйте пожалуйста смету... [Re: xonix406]
      16 мая 2007 в 14:46 Гілками

В ответ на:

Если честно, то просто офигеваю. Очень дорого.




Да вот мне тоже показалось, что как-то весьма недёшево, мягко говоря. Особенно для приезжих, которые к тому же и живут в квартире, где идёт ремонт.

В ответ на:

Грунтовка - доллар за квадрат! Это как пример.




А какие сейчас цены на эту работу?

В ответ на:

Еще поразила цена на монтаж распредкоробок - 10 за одну!




А сколько должно быть? Там под каждую коробку надо было стену долбить.

В ответ на:

Я так понимаю, что тут еще и не все включено. Есть штукатурка, но нет откосов...




Да, пока не всё. Откосы - гипсокартон. Пока в процессе.


Роздрукувати   Нагадати!   Сповістити модератора   Відправити по E-mail
старый писатель ***
Оболонь
Сообщения: 837
С нами с 04.10.2002

Re: Прокомментируйте пожалуйста смету... [Re: adrenalin]
      16 мая 2007 в 15:38 Гілками

А чего это у тебя аж 94 точки по п.22?

Роздрукувати   Нагадати!   Сповістити модератора   Відправити по E-mail
Свой среди чужих, чужой среди своих ***
28 лет за рулем, Киев
Сообщения: 2761
С нами с 16.07.2004

Re: Прокомментируйте пожалуйста смету... [Re: adrenalin]
      16 мая 2007 в 16:29 Гілками

а это на сколько комнат?

Роздрукувати   Нагадати!   Сповістити модератора   Відправити по E-mail
СуперСтар ***
53 года (16 лет за рулем), Киев
Сообщения: 4947
С нами с 20.10.2006

Re: Прокомментируйте пожалуйста смету... [Re: adrenalin]
      16 мая 2007 в 16:52 Гілками

сейчас тоже ремонт делаем
вот со сметы:
грунтовка - 3 грн за квадрат
штукатурка (маячная) - 20
распрю коробка - 20 грн
монтаж элточки в кирпиче - 21 грн


Роздрукувати   Нагадати!   Сповістити модератора   Відправити по E-mail
приверженец ***
46 лет, Киев
Сообщения: 458
С нами с 18.07.2004

Re: Прокомментируйте пожалуйста смету... [Re: adrenalin]
      16 мая 2007 в 16:54 Гілками

шото очень дорого,.. завтра возьму свою смету, сверю детальней. Хотя может потому что сезон начинается стало все дорого?

это 2х комнатная?


Роздрукувати   Нагадати!   Сповістити модератора   Відправити по E-mail
Достоевский ***
44 года (26 лет за рулем), Киев
Сообщения: 8556
С нами с 19.04.2006

Re: Прокомментируйте пожалуйста смету... [Re: adrenalin]
      16 мая 2007 в 17:07 Гілками

Кое-что дорого, кое-что дешево.
Напр., монтаж отапления (я так понял єто батарея) 45 у.е. - єто шара, реально в Киеве сейчас цена от 60 у.е.
Грунтовка, штукатурка - норма.
Дорогое:
1) Демонтаж. Какой-то он весь дорогой, в т.ч. вывоз мусора.
2) Все что связано с электрикой - завышено раза в полтора.
З.Ы. все имхо.
З.З.Ы. Сам недавно занимался двумя ремонтами в своих квартирах в Киеве (без прораба) и пригороде (со строительной конторой и прорабом).

И еще вопрос: почему за вторую часть работ прораб не "надзирал"?

Змінено tornado88 (17:09 16/05/2007)


Роздрукувати   Нагадати!   Сповістити модератора   Відправити по E-mail
Украинский националист ***
Киев
Сообщения: 19281
С нами с 15.11.2003

Re: Прокомментируйте пожалуйста смету... [Re: Легионер]
      16 мая 2007 в 17:42 Гілками

В ответ на:

а это на сколько комнат?




Две.


Роздрукувати   Нагадати!   Сповістити модератора   Відправити по E-mail
R.I.P (UT7UK) ***
57 лет, Киев
Сообщения: 6543
С нами с 02.09.2005

Re: Прокомментируйте пожалуйста смету... [Re: adrenalin]
      16 мая 2007 в 21:29 Гілками

По работам - ещё найти надо спецов на эти деньги... скорее всего варится на материалах и объёмах.

Роздрукувати   Нагадати!   Сповістити модератора   Відправити по E-mail
Свой среди чужих, чужой среди своих ***
28 лет за рулем, Киев
Сообщения: 2761
С нами с 16.07.2004

Re: Прокомментируйте пожалуйста смету... [Re: THOR]
      17 мая 2007 в 09:42 Гілками

В ответ на:

И еще вопрос: почему за вторую часть работ прораб не "надзирал"?




наверное несет ответственность только за демонтаж


Роздрукувати   Нагадати!   Сповістити модератора   Відправити по E-mail
Достоевский ***
44 года (26 лет за рулем), Киев
Сообщения: 8556
С нами с 19.04.2006

Re: Прокомментируйте пожалуйста смету... [Re: Легионер]
      17 мая 2007 в 11:39 Гілками

я тоже об єтом вначале подумал....

Роздрукувати   Нагадати!   Сповістити модератора   Відправити по E-mail
Украинский националист ***
Киев
Сообщения: 19281
С нами с 15.11.2003

Re: Прокомментируйте пожалуйста смету... [Re: Легионер]
      17 мая 2007 в 13:22 Гілками

В ответ на:

В ответ на:

И еще вопрос: почему за вторую часть работ прораб не "надзирал"?




наверное несет ответственность только за демонтаж




Да нет, просто во второй части марлезонского балета он сам активное участие принимает. За надзор над самим собой я ему платить не собираюсь.


Роздрукувати   Нагадати!   Сповістити модератора   Відправити по E-mail
веселая тетка ****
19 лет за рулем, Киевская обл
Сообщения: 16910
С нами с 21.08.2006

Re: Прокомментируйте пожалуйста смету... [Re: adrenalin]
      16 июня 2007 в 00:18 Гілками

смет очень много, а сканера нет . Процитирую некоторые позиции:

(цены указаны в долл)
демонтаж стяжки - за кв. м 3 долл
вывоз мусора - 80
вынос мусора - 25 за тонну
демонтаж стен - 4 за кв.м
демонтаж труб отопления - 1 за м/п
демонтаж радиаторов отопления - 6 за место
монтаж отопления - 50 за место
сборка радиаторов - 10 за шт
штробление под отопление и сантехн. точки - 3 за м/п
переделка канализ. стояков - 50 за точку
консольные унитазы - 60 за точку
биде и уринал консольные - 60 за точку
перепаковка счетчиков - 15 за шт
перенос счетчика отопления - 50
обустройство стяжек - 8 за п/м
прокладка проводов - 0,8 за м/п
штробы под проводку - 0,8 за м/п
прокладка трубопроводов (кондиц) - 80 за шт
штукатурка стен - 8 за кв.м
штукатурка откосов вх. двери - 7 за м/п
нашивка двойного гипсокартона - 3 за кв.м
потолки из гипсокартона - 10 за кв.м
зашивка труб гипсокартоном - 8 за м/п
зашивка стен гипсокартоном на балконах - 8 за кв.м
установка подоконников (там они строителями были установлены не на одном уровне. Их снимали и выставляли правильно) - 7 за шт
выготовка стен под покраску - 6 за кв.м
выготовка потолка - 6 за кв.м

Надеюсь, пригодилось...


Роздрукувати   Нагадати!   Сповістити модератора   Відправити по E-mail
V.I.P **
Киев
Сообщения: 18552
С нами с 10.07.2001

Re: Вот это ближе к реальности (+) [Re: celica]
      16 июня 2007 в 16:32 Гілками

В ответ на:

смет очень много, а сканера нет . Процитирую некоторые позиции:

(цены указаны в долл)
демонтаж стяжки - за кв. м 3 долл
вывоз мусора - 80
вынос мусора - 25 за тонну
демонтаж стен - 4 за кв.м
демонтаж труб отопления - 1 за м/п
демонтаж радиаторов отопления - 6 за место
монтаж отопления - 50 за место
сборка радиаторов - 10 за шт
штробление под отопление и сантехн. точки - 3 за м/п
переделка канализ. стояков - 50 за точку
консольные унитазы - 60 за точку
биде и уринал консольные - 60 за точку
перепаковка счетчиков - 15 за шт
перенос счетчика отопления - 50
обустройство стяжек - 8 за п/м
прокладка проводов - 0,8 за м/п
штробы под проводку - 0,8 за м/п
прокладка трубопроводов (кондиц) - 80 за шт
штукатурка стен - 8 за кв.м
штукатурка откосов вх. двери - 7 за м/п
нашивка двойного гипсокартона - 3 за кв.м
потолки из гипсокартона - 10 за кв.м
зашивка труб гипсокартоном - 8 за м/п
зашивка стен гипсокартоном на балконах - 8 за кв.м
установка подоконников (там они строителями были установлены не на одном уровне. Их снимали и выставляли правильно) - 7 за шт
выготовка стен под покраску - 6 за кв.м
выготовка потолка - 6 за кв.м

Надеюсь, пригодилось...



А то что дал топкстартер - какая-то подозрительная шара ИХМО - колхозные шаромыжники. Нет таких цен сейчас в Киеве Я уже человек 10 послал, после получаса разговора.... А те кто нормальные - очередь на 1-1.5 месяца. Блин, плиточника ваааще найти невозможно, впрочем как и вменяемых сантехников. Удалось с н-адцатого раза таких себе маляров/гипсокартонщиков найти по цене от 8$, а те сантехники, которые хоть что-то в этом понимают - 80$ за точку. Остальное дома на бумажке, надо бы экселевский файлик начинать вести.....


Роздрукувати   Нагадати!   Сповістити модератора   Відправити по E-mail
Украинский националист ***
Киев
Сообщения: 19281
С нами с 15.11.2003

Re: Вот это ближе к реальности (+) [Re: Yashka]
      15 августа 2007 в 11:05 Гілками

В ответ на:

А то что дал топкстартер - какая-то подозрительная шара ИХМО - колхозные шаромыжники.




Ты гонишь...

Таких "шаромыжников" поискать ещё надо. И искать очень долго будешь, гарантирую.

В ответ на:

Нет таких цен сейчас в Киеве




Если таких цен в Киеве для тебя нет, то это не значит, что их нет для всех остальных...

В ответ на:

Я уже человек 10 послал, после получаса разговора...




С такой манерой ведения разговора это неудивительно.

В ответ на:

А те кто нормальные - очередь на 1-1.5 месяца.




А что ты хотел? Чтоб нормальные люди тебя одного ждали годами?

В ответ на:

Блин, плиточника ваааще найти невозможно, впрочем как и вменяемых сантехников. Удалось с н-адцатого раза таких себе маляров/гипсокартонщиков найти по цене от 8$, а те сантехники, которые хоть что-то в этом понимают - 80$ за точку.




Ты просто не там ищешь.

В ответ на:

Остальное дома на бумажке, надо бы экселевский файлик начинать вести.....




Я о чем и говорю - фиксируй всё, как делаю это я. Потом выкладывай - обсудим. А горячие эмоции отодвинь в сторону, делов-то...


Роздрукувати   Нагадати!   Сповістити модератора   Відправити по E-mail
Autoua.netФорумБудівництво та ремонт нерухомості
Додаткова інформація
0 користувачів і 13 що побажали залишитися невідомими читають цей форум.

Модератор:  moderator, Outdriver 

Роздрукувати всю тему

Права
      Ви не можете створювати нові теми
      Ви не можете відповідати на повідомлення
      HTML дозволений
      UBBCode дозволений

Рейтинг:
Переглядів теми: 2223

Оціните цю тему

Перейти в

Правила конференції | Календар | FAQ | Карта розділу | Мобільна версія